TEAM (Testing Electromagnetic Analysis Methods) represents an open international working group aiming to compare electromagnetic analysis computer codes. TEAM Workshops are meetings of this group. A series of TEAM Workshops was started in 1986 and has been organized in two-year rounds, each comprising a series of ”Regional” workshops and a ”Final” Workshop, as a satellite event of the COMPUMAG Conference. The TEAM problems consist in a list of test-problems, with precisely defined dimensions, constitutive laws of materials, excitations, etc., and each backed by a real laboratory device, on which measurements can be made.
The TEAM 20 problem is a non linear magnetostatic 3D model for verification of magnetostatic force calculation. The center pole and yoke are made of steel and the coil is a source circuit with imposed Ampere-turns. This model allows to investigate the surface magnetic force calculation obtained by the monolithic solver in magnetostatic cases under different current excitations.
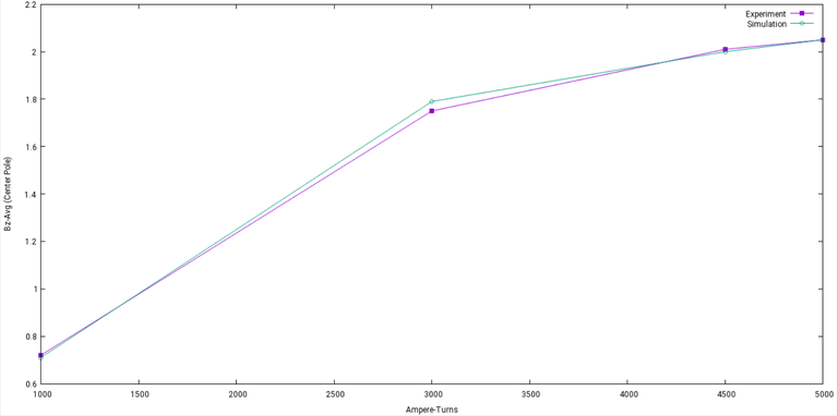
Reference results can be found in [1].
[1] Takahashi, N., Nakata, T. and Morishige, H. (1995), “SUMMARY OF RESULTS FOR PROBLEM 20 (3‐D STATIC FORCE PROBLEM)”, COMPEL – The international journal for computation and mathematics in electrical and electronic engineering, Vol. 14 No. 2/3, pp. 57-75.
*EM_CIRCUIT_SOURCE *EM_CIRCUIT_ROGO *EM_CONTROL *EM_CONTROL_COUPLING *EM_CONTROL_TIMESTEP *EM_DATABASE_POINTOUT *EM_DATABASE_PARTDATA *EM_MAT_001 *EM_MAT_002 *EM_EOS_PERMEABILITTY *EM_OUTPUT *EM_POINT_SET *EM_SOLVER_BEM *EM_SOLVER_BEMMAT *EM_SOLVER_FEM *EM_SOLVER_FEMBEM_MONOLITHIC
KEYWORD
*TITLE
TEAM 20
$ Example provided by Iñaki (Ansys LST)
$X——————————————————————————
$X
$X 1. Run file as is.
$X Recommended LS-DYNA MPP Dev November 2021 (or more recent)
$X Double precision
$X
$X——————————————————————————
$# UNITS: (g/mm/s)
$X——————————————————————————
$X
*PARAMETER
R T_end 2.e-4
R dt_plot 1.e-5
$
$— em
R em_cond 0.0
R em_dt 1.e-5
R curr1 1.0e6
R curr2 3.0e6
R curr3 4.5e6
R curr4 5.0e6
R rtolbem 1.e-6
R tolbemM 1.e-8
R rtol_ksp 1.e-4
R atol_ksp 1.e-8
R rtol_new 1.e-3
R stol_new 1.e-3
R atol_new 1.e-6
I ls_on 1
$
$
$— struc
$
R dt_struc 1.e-6
Rrho_struc 7000.e-6
R E_struc 2.e11
R nu_struc 0.3
$ ****************************************************************************
$ mesh
$ ****************************************************************************
*INCLUDE
mesh_team20.k
$ ****************************************************************************
$ mechanics
$ ****************************************************************************
$——–1———2———3———4———5———6———7———8
*CONTROL_TERMINATION
$ ENDTIM ENDCYC DTMIN ENDENG ENDMAS
&T_end
*CONTROL_TIMESTEP
15
*DEFINE_CURVE
15
0.,&dt_struc
1.,&dt_struc
*DATABASE_BINARY_D3PLOT
&dt_plot
*PART
Coil
$ pid secid mid eosid hgid grav adpopt tmid
1 1 1
*PART
Yoke
$ pid secid mid eosid hgid grav adpopt tmid
2 1 2
*PART
Center Pole
$ pid secid mid eosid hgid grav adpopt tmid
3 1 3
*SECTION_SOLID
$ sid elform
1 1
*MAT_RIGID
1,&rho_struc,&E_struc,&nu_struc
$# cmo con1 con2
1.000000 7 7
$# lco or a1 a2 a3 v1 v2 v3
0.000 0.000 0.000 0.000 0.000 0.000
*MAT_RIGID
2,&rho_struc,&E_struc,&nu_struc
$# cmo con1 con2
1.000000 7 7
$# lco or a1 a2 a3 v1 v2 v3
0.000 0.000 0.000 0.000 0.000 0.000
*MAT_RIGID
3,&rho_struc,&E_struc,&nu_struc
$# cmo con1 con2
1.000000 7 7
$# lco or a1 a2 a3 v1 v2 v3
0.000 0.000 0.000 0.000 0.000 0.000
$ ****************************************************************************
$ electromagnetism
$ ****************************************************************************
*EM_CONTROL
$——–1———2———3———4———5———6———7———8
$ emsol numls emdtinit emdtmax emtinit emtend ncyclFem ncyclBem
1 5000 5000
*EM_CONTROL_COUPLING
,2
*EM_CONTROL_TIMESTEP
$——–1———2———3———4———5———6———7———8
$ TSTYPE DTCONST LCID FACTOR
1 &em_dt
*EM_SOLVER_FEM
$——–1———2———3———4———5———6———7———8
$ relTol maxIter solveType precond useLast
1.e-6 10000 1 1 1
*EM_SOLVER_BEM
$——–1———2———3———4———5———6———7———8
$ relTol maxIter solveType precond uselast
&rtolbem 10000 2 4 1
*EM_SOLVER_BEMMAT
$——–1———2———3———4———5———6———7———8
$ matId relTol
1 &tolbemM
*EM_SOLVER_BEMMAT
$——–1———2———3———4———5———6———7———8
$ matId relTol
2 &tolbemM
*EM_SOLVER_BEMMAT
$——–1———2———3———4———5———6———7———8
$ matId relTol
3 &tolbemM
*EM_CIRCUIT_SOURCE
$——–1———2———3———4———5———6———7———8
$ circid circtype lcid R L C V0
1 1 200
$ ssidCurr ssidVltin ssidVltOt partID
1 1 2000
*EM_CIRCUIT_ROGO
2,2,1,3
*EM_CIRCUIT_ROGO
3,3,1,3
*DEFINE_CURVE
200
0,&curr1
4.e-5,&curr1
5.e-5,&curr2
9.e-5,&curr2
1.0e-4,&curr3
1.4e-4,&curr3
1.5e-4,&curr4
5.e-4,&curr4
*DEFINE_CURVE
21
0.,0.
10.,0.
*DEFINE_CURVE
22
0.,0.
10.,0.
*DEFINE_CURVE
23
0.,0.01
10.,0.01
*EM_MAT_002
$——–1———2———3———4———5———6———7———8
$ em_mid mtype sigma eosId murel eosMure
2 2 &em_cond 1. 10
*EM_MAT_001
$——–1———2———3———4———5———6———7———8
$ em_mid mtype sigma eosId
1 1
*EM_MAT_002
$——–1———2———3———4———5———6———7———8
$ em_mid mtype sigma eosId
3 2 &em_cond 1. 10
*EM_EOS_PERMEABILITY
10,1,400
*INCLUDE
BfuncH.k
*EM_OUTPUT
$——–1———2———3———4———5———6———7———8
$ matS matF solS solF mesh memory timing d3plotAsc
2 2 2 2 0 0 0 0
$ mf2 gmv d3plotFor timeHist
0 0 0
*EM_POINT_SET
1
1,13.0,4.0,120.0
2,13.0,4.0,121.0
3,13.0,4.0,122.0
4,13.0,4.0,123.0
5,13.0,4.0,124.0
6,13.0,4.0,125.0
7,13.0,4.0,126.0
8,13.0,4.0,127.0
9,13.0,4.0,128.0
10,13.0,4.0,129.0
11,13.0,4.0,130.0
12,13,0.0,125.0
13,13,1.0,125.0
14,13,2.0,125.0
15,13,3.0,125.0
16,13,4.0,125.0
17,13,5.0,125.0
18,13,6.0,125.0
19,13,7.0,125.0
20,13,8.0,125.0
21,13,9.0,125.0
22,13,10.0,125.0
23,13,11.0,125.0
24,13,12.0,125.0
25,13,13.0,125.0
100,0,0,25.75
101,12.5,5,25.75
*EM_DATABASE_POINTOUT
1
1
*EM_DATABASE_PARTDATA
1
*EM_SOLVER_FEMBEM_MONOLITHIC
$——–1———2———3———4———5———6———7———8
$ COUPLING KSP_TYPE KSP_ATOL KSP_RTOL KSP_MAXIT GMRES_RST DEBUG
0 &atol_ksp &rtol_ksp 20000
$——–1———2———3———4———5———6———7———8
$ NEWT_STOL NEWT_ATOL NEWT_RTOL NEWT_MAXI
0 &stol_new &atol_new &rtol_new 500
$——–1———2———3———4———5———6———7———8
$ LS_ON LS_FTOL LS_GTOL LS_RTOL LS_SAMPL LS_NUM_SP LS_MAXFUN
&ls_on 0.01 0.5 0.01
*END



